heat and mass transfer problems engineering equations heat and mass transfer school homework engineering heat and mass transfer formulas heat and mass transfer solutions to heat and mass transfer problems full solution engineering problem solution heat and mass transfer math problems engineering equations heat and mass transfer school homework engineering solutions to heat and mass transfer formulas heat problems mass problem solutions to transfer problems full solution heat and mass transfer
heat and mass transfer problems engineering equations heat and mass transfer school homework engineering heat and mass transfer formulas heat and mass transfer solutions to heat and mass transfer problems full solution engineering problem solution heat and mass transfer math problems engineering equations heat and mass transfer school homework engineering solutions to heat and mass transfer formulas heat problems mass problem solutions to transfer problems full solution heat and mass transfer
Highalphabet Home Page heat and mass transfer problem solutions Heat and Mass Transfer Page
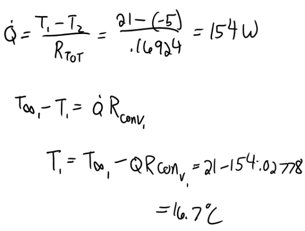
Consider a 1.5 m high and 2.4 m wide double pane window consisting of two 3 mm thick layers of glass (k=0.78 W/mK) separated by a 12 mm wide stagnant air space (k=0.026 W/mK). Determine the steady rate of heat transfer through this double pane window and the temperature of its inner surface for a day during which the room is maintained at 21 C while the temperature of the outdoors is -5 C. Take the convection heat transfer coefficients on the inner and outer surfaces of the window to be h_1=10 W/m^2 K and h_2=25 W/m^2 K, and disregard any heat transfer by radiation.







Consider a 1.5 m high and 2.4 m wide double pane window consisting of two 3 mm thick layers of glass (k=0.78 W/mK) separated by a 12 mm wide stagnant air space (k=0.026 W/mK). Determine the steady rate of heat transfer through this double pane window and the temperature of its inner surface for a day during which the room is maintained at 21 C while the temperature of the outdoors is -5 C. Take the convection heat transfer coefficients on the inner and outer surfaces of the window to be h_1=10 W/m^2 K and h_2=25 W/m^2 K, and disregard any heat transfer by radiation.